Algorithm(알고리즘)/Dynamic Programming
1) Memoiztion 방식의 피보나치 함수 (Dynamic Programming)
반응형
1) Memoiztion 방식
: 동일한 계산을 반복해야 할 경우 한 번 계산한 결과를 메모리에 저장해 두었다가 꺼내 씀으로써 중복 계산을 방지할 수 있게 하는 기법
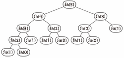
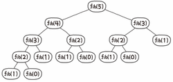
피보나치 수열은 예를 들어 f(4) = f(3) + f(2) 이다. f(3)는 f(2) + f(1)이므로
f(4) = f(2) + f(1) + f(2) 이런 과정을 반복해서
표현한 최종적인 f(4)는 f(1) + f(0) + f(1) + f(1) + f(0)와 같다.


2) Memoiztion 방식의 피보나치 함수
def fib_memo(n, cache):
if n < 3:
return 1
if n in cache:
return cache[n]
cache[n] = fib_memo(n - 1,cache) + fib_memo(n - 2,cache)
return cache[n]
def fib(n):
# n번째 피보나치 수를 담는 사전
fib_cache = {}
return fib_memo(n, fib_cache)
# 테스트
print(fib(10))
print(fib(50))
print(fib(100))
# 결과
55
12586269025
354224848179261915075
풀이
반응형
'Algorithm(알고리즘) > Dynamic Programming' 카테고리의 다른 글
| 5) Tabulation 방식의 새꼼달꼼 장사 최대 수익 함수 (0) | 2021.05.16 |
|---|---|
| 4) 장사 분석, 최대 수익 출력 함수 (0) | 2021.05.16 |
| 3) 공간복잡도가 O(1)인 피보나치 함수 (0) | 2021.05.16 |
| 2) tubulation 방식의 피보나치 함수 (0) | 2021.05.16 |
댓글